Tạp chí JDD đăng tải Báo cáo lâm sàng kem trị nám NanoMD Cyntra với 7.5% Cysteamine và 3% Tranexamic Acid
Báo cáo thể hiện chi tiết nghiên cứu lâm sàng về hiệu quả điều trị cũng như tính an toàn của kem trị nám NanoMD...
Báo cáo thể hiện chi tiết nghiên cứu lâm sàng về hiệu quả điều trị cũng như tính an toàn của kem trị nám NanoMD Cyntra đã chính thức được đăng tải trên JDD (Journal of Drugs in Dermatology) – một trong những tạp chí quốc tế hàng đầu trong lĩnh vực da liễu. Thông qua nội dung nghiên cứu, chúng ta có thể thấy kem trị nám với công thức chứa Cysteamine 7.5% kết hợp Tranexamic Acid 3% với công nghệ bọc Nano là sản phẩm có triển vọng cao trong điều trị nám da.
Xem “Báo cáo Khoa học Quốc tế về hiệu quả – an toàn – sự hài lòng của bệnh nhân đối với Kem hiệu chỉnh sắc tố da NanoMD CYNTRA” tại: ĐÂY

Báo cáo lâm sàng về kem trị nám NanoMD Cyntra với 7.5% Cysteamine và 3% Tranexamic Acid
Tóm tắt báo cáo lâm sàng về kem trị nám NanoMD Cyntra với 7.5% Cysteamine và 3% Tranexamic Acid
Mục tiêu nghiên cứu:
- Đánh giá tính an toàn, hiệu quả và sự hài lòng của bệnh nhân đối với kem trị nám NanoMD Cyntra mang công thức kết hợp 7.5% Cysteamine và 3% Tranexamic Acid được ứng dụng công nghệ bọc nano mới.
Phương pháp nghiên cứu:
- Lựa chọn 50 đối tượng ngẫu nhiên thoa kem trị nám NanoMD Cyntra lên các khu vực da bị ảnh hưởng trong 30 phút và lặp lại hằng ngày trong suốt 3 tháng.
- Hiệu quả điều trị, độ an toàn, sự hài lòng và tính tuân thủ của bệnh nhân được đánh giá bằng cách sử dụng thang điểm mMASI thông qua khảo sát bệnh nhân tại các lần theo dõi đầu tiên, sau 1 tháng, 2 tháng và 3 tháng.
Kết quả:
- Tình trạng nám da được cải thiện liên tục, với điểm số mMASI tăng lần lượt là 40%, 57% và 63% tương ứng với sau 1 tháng, 2 tháng và 3 tháng sử dụng kem trị nám NanoMD Cyntra (7.5% Cysteamine và 3% Tranexamic Acid ứng dụng công nghệ bọc nano).
- Đường cơ sở thể hiện sự giảm điểm mMASI sau 3 tháng cho thấy 91% người tham gia cải thiện tình trạng nám da.
- Điểm số về sự hài lòng của người tham gia ngày càng tăng và có tính nhất quán cao trong suốt thời gian thử nghiệm.
- 6 người tham gia gặp phải tác dụng phụ nhẹ, nhưng không có báo cáo về rối loạn sắc tố hoặc mỏng da.
- Sản phẩm đã chứng minh được mức độ dung nạp tốt, thể hiện sự an toàn cao và tác dụng phụ tối thiểu.
Kết luận:
Báo cáo lâm sàng đã cho thấy kem trị nám NanoMD Cyntra với công thức kết hợp 7.5% Cysteamine và 3% Tranexamic Acid, ứng dụng công nghệ bọc nano mang đến hiệu quả giảm điểm số mMASI đáng kể, đồng thời chứng minh tính an toàn và sự hài lòng cao của bệnh nhân.
Báo cáo lâm sàng chi tiết về Kem trị nám NanoMD Cyntra với 7.5% Cysteamine và 3% Tranexamic Acid
Giới thiệu tổng quan về báo cáo lâm sàng của NanoMD Cyntra
Nám là một tình trạng tăng sắc tố kéo dài, thường gặp ở vùng mặt và cổ do tiếp xúc với ánh nắng mặt trời. Cơ chế sinh bệnh học của nám đến nay vẫn chưa được thấu hiểu toàn diện, các cơ chế hiện có đang được nắm bắt và ứng dụng trong điều trị như: di truyền, tiếp xúc với tia cực tím (UV), sử dụng thuốc tránh thai ảnh hưởng đến nội tiết tố, da nhạy cảm với ánh sáng, viêm da bẩm sinh và căng thẳng [1].
Tác động của nám gây ảnh hưởng đáng kể đến thẩm mỹ, khiến bệnh nhân mất tự tin và đánh mất nhiều cơ hội trong cuộc sống. Mặc dù tỷ lệ mắc phải nám ở các khu vực vẫn chưa được xác định rõ, nhưng trên lâm sàng, nám phổ biến hơn ở các nhóm chủng tộc Đông Á, Trung Đông, Địa Trung Hải – Châu Phi và các khu vực cận nhiệt đới ở Châu Mỹ.
Các phương pháp điều trị hiện tại tập trung vào loại bỏ các nguyên nhân tiềm ẩn gây ra nám và tăng cường sử dụng các sản phẩm chống nắng phổ rộng để điều chỉnh quá trình hình thành sắc tố [2]. Một số phương pháp khác bao gồm sử dụng các hoạt chất làm giảm sắc tố để bôi ngoài da, peel, laser, Tranexamic Acid đường uống, sử dụng Vitamin C và Vitamin E. Tiêm Vitamin C hoặc Glutathione vào tĩnh mạch cũng được thực hiện ở một số quốc gia [3]. Ngoài ra, các hợp chất phenolic được chọn lọc cũng có khả năng chống lại các tổn thương da liên quan đến tia cực tím.
Cysteamine Hydrochloride (β mercaptoethylamine hydrochloride) – Một phân tử ức chế sắc tố mạnh – là một aminothiol được sản xuất tự nhiên trong cơ thể người dưới dạng sản phẩm thoái hóa của L-Cysteine. Cysteamine là một hợp chất dung nạp tốt, không gây đột biến và ung thư. Tuy nhiên, một số đặc tính không mong muốn của Cysteamine như: mùi khó chịu, tính chất hóa học thiếu ổn định, khả năng hút ẩm và dược động học kém đã hạn chế tính ứng dụng của Cysteamine [4,5].
Tranexamic Acid – Một dẫn xuất tổng hợp của acid amin lysine, là một chất chống tiêu sợi huyết đã được chứng minh hiệu quả trong việc giảm chảy máu. Ngoài ra, các nghiên cứu gần đây đã cho thấy Tranexamic Acid có đặc tính làm giảm sắc tố, là một hoạt chất tiềm năng trong điều trị nám [6,7,11].
Trong nghiên cứu trước đây, các sản phẩm kem bôi chứa Cysteamine và Tranexamic Acid đã được chứng minh có hiệu quả trong việc giảm nám. Tuy nhiên, những nghiên cứu đó chỉ sử dụng đơn lẻ kem chứa 1 trong 2 thành phần, hoặc Cysteamine, hoặc Tranexamic Acid. Do đó, một thử nghiệm lâm sàng đã được tiến hành bằng cách sử dụng công thức kết hợp cùng lúc cả 2 hoạt chất Cysteamine và Tranexamic Acid ở dạng kem bôi ngoài da, đồng thời ứng dụng công nghệ bọc nano nhằm khắc phục các đặc tính không mong muốn của Cysteamine và Tranexamic Acid.
Trong nghiên cứu này, chỉ số Melasma Area và Severity Index (mMASI) đã được thay đổi. Bảng câu hỏi về sự hài lòng của bệnh nhân gồm 9 mục (PSQ) và bảng câu hỏi về sự tuân thủ điều trị của bệnh nhân (PAQ) đã được sử dụng để đánh giá hiệu quả điều trị, sự thuận tiện và sự hài lòng trong suốt nghiên cứu. Ngoài ra, các đánh giá về tính an toàn và khả năng dung nạp cũng đã được tiến hành trong suốt quá trình thử nghiệm lâm sàng.
Nguyên liệu và phương pháp nghiên cứu trong báo cáo lâm sàng
Mẫu nghiên cứu
Nghiên cứu bắt đầu vào tháng 7 năm 2022 với sự đăng ký của người tham gia đầu tiên và kết thúc vào tháng 2 năm 2023. Điều kiện tiến hành nghiên cứu lựa chọn các người tham gia thuộc độ tuổi từ 18 – 60, sở hữu loại da Fitzpatrick II, III, IV hoặc V và phải đồng ý tuân thủ các quy định điều trị trong suốt thời gian nghiên cứu [8].
Sự sàng lọc nhằm mục tiêu đạt được tối thiểu 40 người tham gia. Các tiêu chí lựa chọn bao gồm: Người tham gia đã bị nám biểu bì hoặc nám hỗn hợp (chẩn đoán được xác nhận bằng đèn Wood) và thời gian mắc bệnh tối thiểu 6 tháng. Ngoài ra, những người tham gia chưa từng trải qua bất kỳ điều trị nào trong ít nhất 2 tháng trước khi bước vào cuộc nghiên cứu.
Các tiêu chí loại trừ bao gồm: nám chân sâu (dermal melasma), sử dụng thuốc tránh thai trong quá trình nghiên cứu hoặc trong 3 tháng trước đó, điều trị bằng corticosteroid thông qua đường bôi hoặc uống, có sự hiện diện của các rối loạn sắc tố khác, tiền sử rối loạn nội tiết, đang mang thai hoặc cho con bú.
Mô hình nghiên cứu
Nghiên cứu được thực hiện theo mô hình nhãn mở, đa trung tâm và ngẫu nhiên với mẫu gồm 50 đối tượng. Trước khi tham gia nghiên cứu, các đối tượng xác nhận đã đọc qua mô hình nghiên cứu, thực hiện các thủ tục cần thiết và có mong muốn trong suốt quá trình diễn ra nghiên cứu.
Mỗi đối tượng nghiên cứu được hướng dẫn nhập dữ liệu vào các lần đánh giá 30, 60 và 90 ngày. Trong đợt đánh giá 30 ngày, các đối tượng tham gia đã hoàn thành bảng câu hỏi về Sự Tuân Thủ Điều Trị của Bệnh Nhân (PAQ). Và trong các đợt đánh giá 30, 60 và 90 ngày, bảng câu hỏi về Mức Độ Hài Lòng của Bệnh Nhân (PSQ) đã được hoàn thành. Ngoài ra,còn có các hình ảnh lâm sàng được chụp khi đánh giá đường cơ sở và chỉ số mMASI sau đó [9, 10].
Đánh giá lâm sàng
Các đối tượng tham gia đã được thu thập và đánh giá các thông tin về: nhân khẩu học, thời gian bị nám, tình trạng da, tiền sử bệnh lý, các loại thuốc đã từng sử dụng, các dị ứng tiếp xúc, thời gian tiếp xúc ngoài trời hằng ngày, các phương pháp từng sử dụng để điều trị sắc tố hoặc liệu pháp laser, tần suất sử dụng kem chống nắng.
Bác sĩ da liễu đã tiến hành kiểm tra thể chất da và đánh giá mức độ nghiêm trọng chung của da các bệnh nhân sau 30, 60 và 90 ngày. Tại mỗi lần đánh giá, các đối tượng được đánh giá về độ an toàn, khả năng dung nạp và các tác dụng phụ như: ban đỏ, khô, ngứa, cảm giác nóng rát, kích ứng và thay đổi sắc tố (giảm và tăng sắc tố). Bất kỳ tác dụng phụ tiêu cực nào cũng đều được ghi nhận lại.
Phác đồ điều trị
Sản phẩm thử nghiệm trong báo cáo lâm sàng là NanoMD Cyntra (đến từ Công ty Nghiên cứu Y khoa Boston Sante, Cambridge, Massachusetts, Mỹ), bao gồm hỗn hợp 7,5% Cysteamine Hydrochloride và 3% Tranexamic Acid được ứng dụng công nghệ bọc nano.
Các đối tượng tham gia được hướng dẫn bôi kem NanoMD Cyntra lên các vùng da bị nám trong 30 phút/lần mỗi ngày. Đồng thời được khuyến khích sử dụng kem chống nắng vật lý và được hướng dẫn cách bảo vệ da khỏi ánh nắng mặt trời. Họ cũng được yêu cầu ngừng sử dụng tất cả các sản phẩm bôi thoa khác ngoại trừ sữa rửa mặt. Việc thoa kem chống nắng 30 phút trước khi ra nắng và thoa lại kem chống nắng sau mỗi 2 giờ cũng được chú trọng.
Trong quá trình nghiên cứu, người tham gia được yêu cầu duy trì chế độ ăn uống bình thường. Ngoài ra, bất kỳ loại thuốc nào (kê đơn hoặc không kê đơn), vitamin, khoáng chất hoặc thảo dược mà những người tham gia sử dụng đều được ghi lại.
Các biện pháp nghiên cứu
Trong quá trình đánh giá, điểm số mMASI được xác định bằng cách sử dụng phân tích chủ quan về 2 khía cạnh: vùng liên quan (A), mức độ tối (D) ở vùng trán (f), vùng má phải (rm), vùng má trái (lm) và vùng cằm (c). Quá trình chấm điểm dựa trên sự kiểm tra trực quan các hình ảnh của bệnh nhân bởi một bác sĩ da liễu độc lập.
Điểm mMASI được tính theo công thức trên hình bên dưới:

Tổng số điểm trải dài từ 0 – 24, với diện tích và độ tối được đánh giá như trong bảng 1 và bảng 2.

Hệ thống tính điểm này nhấn mạnh tầm quan trọng của việc theo dõi và đánh giá thường xuyên trong việc quản lý nám và đảm bảo kết quả tốt nhất có thể cho bệnh nhân.
Bảng câu hỏi về sự hài lòng của bệnh nhân (PSQ)
3 thang đo trong PSQ bao gồm thang đo hiệu quả (câu hỏi 1 – 2), thang đo sự thuận tiện (câu hỏi 3 – 5) và thang đo sự hài lòng (câu hỏi 6 – 9). Điểm số PSQ sử dụng thang đo của Likert và nằm trong khoảng từ 1 – 5, với điểm số càng cao thì biểu thị mức độ hài lòng càng cao [12,13].
Bảng câu hỏi tuân thủ điều trị của bệnh nhân (PAQ)
PAQ (Bảng 3) gồm 7 mục, dùng để đánh giá sự tuân thủ của bệnh nhân thông qua việc họ tự báo cáo. Thang điểm này tạo ra tổng số điểm từ 0 – 7. Trong đó, điểm số cao hơn biểu thị sự tuân thủ tốt hơn với phác đồ điều trị.
Điểm số PAQ có thể được phân loại thành 3 bậc: Những người tuân thủ thấp (dưới 6), những người tuân thủ trung bình (>=6 và <7) và những người tuân thủ cao (=7). Bảng câu hỏi này có độ nhạy là 91% và độ đặc hiệu là 50% [14].

Phương pháp thống kê
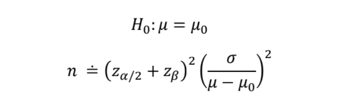
Tất cả các phân tích được thực hiện bằng IBM SPSS phiên bản 29.0.0.0 Windows [15]. Cỡ mẫu được tính bằng công thức trên hình bên dưới. Trong đó, sai số loại I, một bên được đặt thành 5% và β = 0,2. Để so sánh điểm số mMASI, chúng ta chỉ cần một nhóm (kiểm định theo phương pháp Paired Sample T Test) [16].

Nếu đặt αα = 0,05 và ββ = 0,20 (80% công suất); từ các nghiên cứu trước đây, ước tính tốt nhất của chúng tôi về độ lệch chuẩn trong nhóm là 2,0. Sự khác biệt từ 1 điểm mMASI trở lên được xem là quan trọng về mặt sinh học.
Từ phương trình kiểm định theo phương pháp Paired Sample T Test nn ≐ 31,39, làm tròn thành số nguyên chúng ta cần 32 đối tượng nghiên cứu. Giá trị p = 0,05 hoặc thấp hơn được tính là có ý nghĩa thống kê. Một bài kiểm tra t ghép nối đã được sử dụng để so sánh điểm số mMASI (được xác nhận bằng bài kiểm tra Kolmogorov-Smirnov).
Hiệu lực của PSQ được đánh giá bằng cách sử dụng mô hình phương trình cấu trúc (SEM) [17]. Việc đánh giá mô hình được chỉ định dựa trên 2 tiêu chí:
- Các biện pháp phù hợp, bao gồm chỉ số so sánh phù hợp của Bentler (CFI), chỉ số phù hợp không theo tiêu chuẩn của Bentler và Bonett (NNFI) và chi bình phương.
- Tầm quan trọng của các ước tính tham số chuẩn hóa riêng lẻ cho các đường dẫn trong mô hình.
Kiểm định chi bình phương không có ý nghĩa, các giá trị CFI và NNFI gần hoặc vượt quá 0,90 cho thấy mô hình phù hợp tốt [18,19]. Các ước tính tham số chuẩn hóa riêng lẻ có ý nghĩa thống kê khi >= 0,70. Tính nhất quán của PSQ (bao gồm tính hiệu quả, tiện lợi và sự hài lòng) được đánh giá bằng cách sử dụng Cronbach's alpha sau 30, 60 và 90 ngày.
Một phân tích tính hợp lệ đã đánh giá khả năng phân biệt giữa các yếu tố thuộc PSQ (hiệu quả, tiện lợi và sự hài lòng) với sự khác biệt về mức độ hài lòng khi bôi kem NanoMD Cyntra và điểm số mMASI. Người ta dự đoán rằng những cá nhân có sự tuân thủ cao hơn có nhiều khả năng hài lòng với kem NanoMD Cyntra hơn.
Sau 90 ngày, điểm PSQ được so sánh giữa những người tuân thủ thấp (điểm PAQ < 6) và những người tuân thủ trung bình (điểm PAQ ≥ 6 và < 7) bằng cách sử dụng phân tích hiệp phương sai để kiểm soát các biến số liên quan đáng kể đến sự hài lòng của bệnh nhân, thông qua phân tích các biến (tuổi, giới tính, loại da).
Kích thước hiệu ứng Cohen's d (sự khác biệt giữa điểm trung bình của các nhóm chia cho độ lệch chuẩn gộp) được tính toán để đánh giá sự khác biệt giữa các nhóm. Kích thước hiệu ứng trong khoảng từ 0,50 – 0,80 được coi là vừa phải. Kích thước hiệu ứng >= 0,80 được coi là lớn [20, 21].
Tổng hiệu lực của PSQ được đánh giá bằng cách kiểm tra mối tương quan giữa điểm tuân thủ điều trị của bệnh nhân và điểm miền của PSQ sau 90 ngày sử dụng hệ số tương quan theo thứ tự xếp hạng Spearman. Ít nhất cũng có mối tương quan tích cực vừa phải giữa các điểm số vì sự hài lòng của bệnh nhân có khả năng liên quan tích cực đến sự tuân thủ điều trị của bệnh nhân.
Kết quả
Trong số 50 bệnh nhân, 45 (90%) đã hoàn thành tất cả các yêu cầu của nghiên cứu và được đưa vào phân tích. Tuổi trung bình là 41 tuổi, có 5 đối tượng là nam.

Một đối tượng có sự tăng cường mức độ nám liên tục (Bảng 5, Hình 1) được điều trị bằng kem trị nám NanoMD Cyntra. Kết quả đến ngày thứ 30, điểm số mMASI đã cải thiện 40%, đến ngày thứ 60 mMASI đã cải thiện 57% và đến ngày thứ 90 đã cải thiện 63%.
Hình 2, 3 và 4 cho thấy các phản ứng lâm sàng tốt trong điều trị nám. Điểm số mMASI đã có sự thay đổi từ lần thăm khám đầu tiên đến lần thăm khám thứ 3 sau 90 ngày. Ngoài ra, 91% người tham gia đã đạt được một số cải thiện về nám.




Mô hình PSQ được thử nghiệm bao gồm: 1 mô hình đo lường, mô tả mối quan hệ của các biến biểu hiện đo lường cấu trúc tiềm ẩn (hiệu quả, tiện lợi và sự hài lòng) và 1 mô hình thông thường, mô tả mối quan hệ của cấu trúc tiềm ẩn với nhau.
Để thử nghiệm mô hình trên, mô hình phương trình cấu trúc (SEM), thử nghiệm chi bình phương phải có ý nghĩa (p < 0,0001). Các ước tính tham số được tiêu chuẩn hóa riêng lẻ cho các đường dẫn trong mô hình đều cao và > 0,7. Tất cả các giá trị t cho ước tính tham số đều vượt quá giá trị tới hạn cần thiết cho ý nghĩa thống kê ở mức alpha = 0,05. Điều này cho thấy giá trị xây dựng của mô hình [18].
Điểm PSQ từ 0 – 5 cho thấy mức độ hài lòng tương tự ở 30, 60 và 90 ngày trên tất cả các yếu tố: hiệu quả, tiện lợi và sự hài lòng. Thang điểm PAQ với điểm từ 0 – 7 có mức độ tuân thủ điều trị trung bình của bệnh nhân là 4,14. PAQ thể hiện tính nhất quán nội tại tốt (Bảng 6) với giá trị Cronbach's alpha trên 0,80 tại tất cả 3 thời điểm [22].

Sự hài lòng về điều trị có xu hướng tăng lên trong suốt thời gian nghiên cứu trên cả ba yếu tố (Bảng 4). Sau 30 ngày, 63% người tham gia bày tỏ sự hài lòng với hiệu quả điều trị. Tỷ lệ này tăng lên 69% sau 60 ngày và 78% sau 90 ngày.
Về sự tiện lợi, 63% đối tượng đồng ý về sự tiện lợi sau 30 ngày, 68% sau 60 ngày và 73% sau 90 ngày.
Cuối cùng, về mức độ hài lòng, 65% người tham gia hài lòng sau 30 ngày, tăng lên 71% sau 60 ngày và đạt đỉnh điểm là 83% sau 90 ngày (Hình 5).

Miền tiện lợi sau 90 ngày thể hiện mối tương quan vừa phải với sự tuân thủ điều trị của bệnh nhân (Hình 6). Điều này có thể chỉ ra các đặc điểm riêng của quần thể nám. Trong bối cảnh các bệnh mãn tính như nám da, yếu tố tiện lợi trở nên nổi bật như một yếu tố quyết định sự tuân thủ điều trị của bệnh nhân. Vì các cá nhân được yêu cầu bôi kem hàng ngày mà không quan sát thấy những thay đổi rõ rệt ngay lập tức trong các biểu hiện lâm sàng của họ.
Hơn nữa, mối quan hệ nghịch đảo vừa phải giữa biến mMASI và sự tuân thủ điều trị của bệnh nhân sau 90 ngày đã được nhận thấy (Hình 7) [21]. Phân tích cho thấy sự khác biệt đáng kể về mMASI và sự hài lòng giữa những người tuân thủ trung bình và thấp. Trong đó, những người tuân thủ trung bình cho thấy sự hài lòng cao hơn so với những người tuân thủ thấp.
Phân tích được điều chỉnh thống kê theo độ tuổi, giới tính và chủng tộc. Kích thước hiệu ứng cho sự khác biệt trung bình nằm trong khoảng từ 0,89 – 1,19 (Bảng 7 và 8). Trong đó, hệ số cao nhất cho thấy sự tuân thủ điều trị của bệnh nhân ảnh hưởng mạnh nhất đến miền hài lòng (Bảng 7).

Bảng thể hiện điểm PSQ tương quan với điểm thang PAQ sau 90 ngày, cho thấy khả năng tương quan tích cực từ trung bình đến cao. Bảng thể hiện tính tiện lợi có mối tương quan mạnh nhất ở mức 0,55, tiếp theo là bảng thể hiện tính hiệu quả ở mức 0,39 và bảng thế hiện tính hài lòng ở mức 0,38. mMASI tương quan với sự tuân thủ điều trị của bệnh nhân ở mức 0,51.
Tổng cộng có 6 đối tượng gặp phải các tác dụng phụ khác nhau, với một số cá nhân báo cáo đồng thời nhiều hơn một tác dụng phụ. Không có đối tượng tham gia nghiên cứu nào báo cáo bất kỳ vấn đề liên quan đến đổi màu da hoặc làm mỏng da. Các tác dụng phụ được báo cáo bao gồm mẩn đỏ (n=5), khô da (n=4), ngứa (n=3), cảm giác nóng rát (n=3) và kích ứng (n=2).
Những phản ứng này tương đối nhỏ và chúng sẽ biến mất ngay cả khi tiếp tục điều trị. Từ đó có thể thấy Kem NanoMD với Cyntra 7.5% Cysteamine và 3% Tranexamic Acid đã chứng minh được khả năng dung nạp cao giữa các đối tượng, thể hiện tính an toàn cao và tác dụng phụ tối thiểu.


Thảo luận
Nghiên cứu đã đánh giá hiệu quả và độ an toàn của kem trị nám NanoMD Cyntra với công thức kết hợp 7.5% Cysteamine và 3% Tranexamic Acid được ứng dụng công nghệ bọc nano. Điểm số mMASI đã thay đổi từ lần thăm khám đầu tiên đến lần thăm khám thứ 3 sau 90 ngày [10].
Bảng câu hỏi về sự hài lòng của bệnh nhân (PSQ) cho thấy mức độ hài lòng cao trên các biểu đồ thể hiện sự hiệu quả, tiện lợi và hài lòng cũng như thể hiện tính nhất quán nội bộ tốt. Phân tích giá trị nhóm cho thấy sự khác biệt đáng kể về sự hài lòng giữa những người tuân thủ trung bình và thấp, làm nổi bật mối quan hệ giữa tuân thủ điều trị và sự hài lòng.
Kem trị nám NanoMD Cyntra với 7.5% Cysteamine và 3% Tranexamic Acid được ứng dụng công nghệ bọc nano đã chứng minh tính an toàn, không có tác dụng phụ nghiêm trọng nào được báo cáo trong quá trình nghiên cứu, cho thấy khả năng dung nạp tốt trên da bệnh nhân trong quá trình điều trị.
Những phát hiện này hỗ trợ cho kết luận sử dụng Kem trị nám NanoMD Cyntra với 7.5% Cysteamine và 3% Tranexamic Acid được ứng dụng công nghệ bọc nano như một lựa chọn điều trị nám hiệu quả và an toàn. Việc sử dụng công nghệ bọc nano trong công thức này giúp giảm thiểu một phần các đặc tính không mong muốn của Cysteamine và Tranexamic Acid, cải thiện tính hữu dụng trong lâm sàng của hoạt chất. Hơn nữa, điểm hài lòng về kết quả điều trị cao trong nghiên cứu này cho thấy bệnh nhân có khả năng tuân thủ chế độ điều trị, góp phần mang lại kết quả tốt hơn.
Hạn chế của nghiên cứu: Không thể làm mù nghiên cứu vì Cysteamine có thể được phát hiện bởi bác sĩ hoặc bệnh nhân do có mùi đặc trưng. Theo hiểu biết hiện tại của nhóm nghiên cứu, hiện không có công nghệ nào có thể che giấu hoàn toàn mùi của Cysteamine.
Kết luận
Tóm lại, Cysteamine 7.5% kết hợp Tranexamic Acid 3% ở công nghệ bọc Nano là công thức hiệu quả tối ưu trong trị nám. Kem trị nám NanoMD Cyntra đảm bảo tính an toàn và hiệu quả, đồng thời mang đến một lựa chọn điều trị đầy hứa hẹn cho bệnh nám da, với sự cải thiện đáng kể về điểm số mMASI và mức độ hài lòng cao của bệnh nhân.
Tiến sĩ Khalil Khatri – Người dẫn dắt thí nghiệm lâm sàng của kem trị nám Cyntra 7.5% Cysteamine

Tiến sĩ Khalil Khatri
Khalil Khatri là Tiến sĩ, Bác sĩ Da liễu và Bác sĩ Laser Thẩm mỹ ở Nashua, New Hampshire, Hoa Kỳ. Ông tốt nghiệp Đại học Harvard danh giá với chuyên ngành da liễu và điều trị laser. Nhờ cách tiếp cận bệnh nhân đặc biệt theo hướng cá nhân hoá, ông đã trở thành một trong những Bác sĩ da liễu được kính trọng và quan tâm nhiều nhất vùng Đông Bắc tại Mỹ.
Đặc biệt, ông cũng chính là người dẫn dắt thí nghiệm lâm sàng về hiệu quả điều trị của Kem trị nám NanoMD Cyntra với 7.5% Cysteamine và 3% Tranexamic Acid được ứng dụng công nghệ bọc nano.
Kinh nghiệm và thành tích
Tiến sĩ Khatri đã có hơn 25 năm kinh nghiệm về Laser thẩm mỹ và nổi tiếng quốc tế về nghiên cứu công nghệ Laser, đặc biệt là phương pháp điều trị bằng Laser Erbium: YAG để cải thiện tình trạng da bị tổn thương do ánh sáng.
Ông đã từng là Giám đốc Y Khoa tại nhiều công ty Laser thẩm mỹ khác nhau, dẫn đầu việc nghiên cứu và phát triển các công tác hội nghị ở Mỹ và quốc tế, nơi ông cập nhật chuyên môn cho bác sĩ khác về các công nghệ Laser tiên tiến.
Tiến sĩ Khatri là thành viên của Hiệp hội Y Khoa và Phẫu thuật Laser Hoa Kỳ và Hiệp hội Y khoa Hoàng gia Anh. Ông còn là thành viên của Học viện Da liễu Hoa Kỳ, Hiệp hội Phẫu thuật Da liễu Hoa Kỳ, Hiệp hội Trị liệu bằng Laser Thế giới và Học viện Y học và Phẫu thuật Laser Quốc tế.
Ông đã từng phục vụ trong Ủy ban Tiêu chuẩn Đào tạo và Hiến pháp & Quy định của Hiệp hội Y học & Phẫu thuật Laser và Chuyên gia Hoa Kỳ.
Tiến sĩ Khatri còn là tác giả của hơn 30 bài báo được xuất bản trên các tạp chí bình duyệt. Ông cũng đã từng là biên tập viên và nhà phê bình tại một số tạp chí y học có uy tín.
Tiên phong phát triển các công nghệ đột phá
Tiến sĩ Khatri hiện đang nghiên cứu phát triển công nghệ mới để điều trị và loại bỏ cellulite và chất béo. Ông cũng là người giúp phát triển thế hệ Laser mới để điều trị nếp nhăn, sẹo mụn và nám bằng công nghệ vi phân.

Kem trị nám NanoMD Cyntra 7.5% Cysteamine và 3% Tranexamic Acid

Kem trị nám NanoMD Cyntra là sản phẩm được ứng dụng trong báo cáo lâm sàng kể trên, nhờ khả năng hiệu chỉnh sắc tố mạnh mẽ. NanoMD Cyntra được ứng dụng trong điều trị các tình trạng nám, tăng sắc tố và giãn mạch nhờ chứa Cysteamine 7.5% kết hợp Tranexamic Acid 3%. Sự kết hợp này sẽ tác động vào đa con đường trong điều trị nám như.
Cysteamine tham gia vào quá trình cải thiện nám thông qua các cơ chế:
- Ức chế enzyme Tyrosinase và Peroxidase.
- Tăng Glutathione nội bào.
- Tạo phản ứng chelate với ion đồng và sắt.
- Ức chế quá trình Polyme hóa của Indole.
Tranexamic Acid tác động vào quá trình cải thiện nám thông qua các cơ chế:
- Ức chế hoạt động của Plasmin và giảm sản xuất Prostaglandin, từ đó ngăn tương tác giữa tế bào sừng và tế bào hắc tố, giảm thiểu sản xuất melanin.
- Giảm số lượng tế bào Mast trên da, từ đó giúp giảm viêm và ức chế tăng sắc tố sau viêm.
- Ức chế enzyme Tyrosinase.
- Cải thiện tình trạng giãn mạch – một trong những nguyên nhân hình thành nên nám


Đặc biệt, cả 7.5% Cysteamine và 3% Tranexamic Acid trong NanoMD Cyntra đều được ứng dụng công nghệ bọc Nano, mang lại những giá trị cao trong điều trị, đồng thời hạn chế kích ứng và nguy cơ dội ngược sắc tố.
Kem trị nám NanoMD Cyntra với 7.5% Cysteamine và 3% Tranexamic Acid được chỉ định cho các tình trạng:
- Các dạng nám khác nhau: từ nám ngoại sinh đến nám nội sinh, gồm cả các biểu hiện như: nám mảng, nám đốm, nám chân nông, nám chân sâu…
- Tăng sắc tố sau viêm và các tình trạng tăng sắc tố khác.
- Thâm sau mụn.
- Da cần duy trì hiệu quả sau điều trị từ công nghệ cao cho các bệnh rối loạn sắc tố.
Sản phẩm có kết cấu lỏng nhẹ, tạo cảm giác thoải mái khi lên da. Kết cấu này cũng được cho là hiệu quả nhất để Cysteamine phát huy tối đa công dụng.
Với hiệu quả và độ an toàn được minh chứng bằng báo cáo lâm sàng, kem trị nám Cyntra 7.5% Cysteamine đã và đang hứa hẹn là sự lựa chọn tối ưu dành của các bác sĩ cho phác đồ điều trị nám và duy trì sau điều trị.
Nguồn nghiên cứu:
1. Handel AC, Miot LD, Miot HA. Melasma: a clinical and epidemiological review. An Bras Dermatol.2014;89(5):771-782. doi:10.1590/abd1806-4841.20143063
2. Lakhdar H, Zouhair K, Khadir K, et al. Clinical and epidemiological investigation of melasma. J Eur Acad Dermatol Venereol. 2007;21(9):1181-1185. doi:10.1111/j.1468-3083.2007.02238.x
3. Rodrigues M, Pandya AG. Melasma: clinical diagnosis and management options. Australas J Dermatol. 2015;56(3):151-163. doi:10.1111/ajd.12298
4. Makino ET, Mehta RC, Banga A, Jain P, Sigler ML, Sonti S. Evaluation of a Hydroquinone-Free Skin Brightening Product Using In Vitro Inhibition of Melanogenesis and Clinical Reduction of Ultraviolet-Induced Hyperpigmentation. J Drugs Dermatol. 2013;12(3):s16-20.
5. Mansouri P, Farshi S, Hashemi Z, Kasraee B. Evaluation of the efficacy of cysteamine 5% cream in the treatment of epidermal melasma: a randomized double-blind placebo-controlled trial. Br J Dermatol. 2015;173(1):209-217. doi:10.1111/bjd.13650
6. Na JI, Choi SY, Yang SH, Choi HR, Kang HY, Park KC. Effect of tranexamic acid on melasma: a clinical trial with histological evaluation. J Eur Acad Dermatol Venereol. 2013;27(8):1035-1039. doi:10.1111/j.1468-3083.2012.04504.x
7. Lee JH, Park JG, Lim SH, et al. Localized intradermal microinjection of tranexamic acid for treatment of melasma in Asian patients: a preliminary clinical trial. Dermatol Surg. 2006;32(5):626-631.
8. Handel AC, Miot LD, Miot HA. Melasma: a clinical and epidemiological review. Anais brasileiros de dermatologia. 2014;89(5):771-82.
9. Tamesis ME, Morelli JG. Melasma. InSeminars in cutaneous medicine and surgery 2001 Sep 1 (Vol. 20, No. 3, pp. 183-192). WB Saunders.
10. Pandya AG, Hynan LS, Bhore R, Riley FC, Guevara IL, Grimes P, Nordlund JJ, Rendon M, Taylor S, Gottschalk RW, Agim NG. Reliability assessment and validation of the Melasma Area and Severity Index (MASI) and a new modified MASI scoring method. Journal of the American Academy of Dermatology. 2011 Jan 1;64(1):78-83.
11. Maeda K, Naganuma M. Topical trans-4-aminomethylcyclohexanecarboxylic acid prevents ultraviolet radiation-induced pigmentation. Journal of Photochemistry and Photobiology B: Biology. 1998 Dec 1;47(2-3):136-41.
12. Atkinson MJ, Sinha A, Hass SL, Colman SS, Kumar RN, Brod M, Rowland CR: Validation of a general measure of treatment satisfaction, the Treatment Satisfaction Questionnaire for Medication (TSQM), using a national panel study of chronic disease. Health Qual Life Outcomes 2004, 2:12.20. Atkinson MJ, Kumar R, Cappelleri JC, Hass SL:
13. Atkinson MJ, Kumar R, Cappelleri JC, Hass SL: Hierarchical construct validity of the treatment satisfaction questionnaire for medication (TSQM version II) among outpatient pharmacy consumers. Value Health 2005, 8(Suppl 1):S9-S24.
14. Nemes, M. I. B., Helena, E. T. D. S., Caraciolo, J. M., & Basso, C. R. (2009). Assessing patient
adherence to chronic diseases treatment: differentiating between epidemiological and clinical approaches. Cadernos de Saúde Pública, 25, S392-S400.
15. IBM Corp. Released 2022. IBM SPSS Statistics for Windows, Version 29.0. Armonk, NY: IBM Corp.16. Hulley SB, Cummings SR, Browner WS, Grady D, Newman TB. Designing clinical research: An epidemiologic approach. 4th ed. Philadelphia: Lippincott Williams & Wilkins; 2013.
17. Kline, R. B. (2015). Principles and Practice of Structural Equation Modeling. 4th ed. New York: The Guilford Press.
18. Hatcher L: A Step-by-Step Approach to Using the SAS System for Factor Analysis and Structural Equation Modeling. SAS Publishing; 1994.
19. Browne M, Cudeck R: Alternative ways of assessing model fit. Socio Methods Res 1992, 21:230-59.
20. Cohen J: A power primer. Psychological Bulletin 1992, 112(1):155-159.
21. Landis JR, Koch GG: The measurement of observer agreement for categorical data. Biometrics 1977, 33:159-174.
22. Nunnally J, Bernstein I: Psychometric Theory 3rd edition. New York: McGraw Hill; 1994.